# 4.5 如何避免预读失效和缓存污染的问题?
大家好,我是小林。
上周群里看到有位小伙伴面试时,被问到这两个问题:

咋一看,以为是在问操作系统的问题,其实这两个题目都是在问如何改进 LRU 算法 。
因为传统的 LRU 算法存在这两个问题:
- 「预读失效」导致缓存命中率下降(对应第一个题目)
- 「缓存污染」导致缓存命中率下降(对应第二个题目)
Redis 的缓存淘汰算法则是通过实现 LFU 算法 来避免「缓存污染」而导致缓存命中率下降的问题(Redis 没有预读机制)。
MySQL 和 Linux 操作系统是通过改进 LRU 算法 来避免「预读失效和缓存污染」而导致缓存命中率下降的问题。
这次,就重点讲讲 MySQL 和 Linux 操作系统是如何改进 LRU 算法的?
好了,开始发车,坐稳了!

# Linux 和 MySQL 的缓存
# Linux 操作系统的缓存
在应用程序读取文件的数据的时候,Linux 操作系统是会对读取的文件数据进行缓存的,会缓存在文件系统中的 Page Cache (如下图中的页缓存)。

Page Cache 属于内存空间里的数据,由于内存访问比磁盘访问快很多,在下一次访问相同的数据就不需要通过磁盘 I/O 了,命中缓存就直接返回数据即可。
因此,Page Cache 起到了加速访问数据的作用。
# MySQL 的缓存
MySQL 的数据是存储在磁盘里的,为了提升数据库的读写性能,Innodb 存储引擎设计了一个缓冲池 (Buffer Pool),Buffer Pool 属于内存空间里的数据。

有了缓冲池后:
- 当读取数据时,如果数据存在于 Buffer Pool 中,客户端就会直接读取 Buffer Pool 中的数据,否则再去磁盘中读取。
- 当修改数据时,首先是修改 Buffer Pool 中数据所在的页,然后将其页设置为脏页,最后由后台线程将脏页写入到磁盘。
# 传统 LRU 是如何管理内存数据的?
Linux 的 Page Cache 和 MySQL 的 Buffer Pool 的大小是有限的,并不能无限的缓存数据,对于一些频繁访问的数据我们希望可以一直留在内存中,而一些很少访问的数据希望可以在某些时机可以淘汰掉,从而保证内存不会因为满了而导致无法再缓存新的数据,同时还能保证常用数据留在内存中。
要实现这个,最容易想到的就是 LRU(Least recently used)算法。
LRU 算法一般是用「链表」作为数据结构来实现的,链表头部的数据是最近使用的,而链表末尾的数据是最久没被使用的。那么,当空间不够了,就淘汰最久没被使用的节点,也就是链表末尾的数据,从而腾出内存空间。
因为 Linux 的 Page Cache 和 MySQL 的 Buffer Pool 缓存的基本数据单位都是页(Page)单位 ,所以后续以「页」名称代替「数据」 。
传统的 LRU 算法的实现思路是这样的:
- 当访问的页在内存里,就直接把该页对应的 LRU 链表节点移动到链表的头部。
- 当访问的页不在内存里,除了要把该页放入到 LRU 链表的头部,还要淘汰 LRU 链表末尾的页。
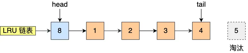
比如下图,假设 LRU 链表长度为 5,LRU 链表从左到右有编号为 1,2,3,4,5 的页。

如果访问了 3 号页,因为 3 号页已经在内存了,所以把 3 号页移动到链表头部即可,表示最近被访问了。

而如果接下来,访问了 8 号页,因为 8 号页不在内存里,且 LRU 链表长度为 5,所以必须要淘汰数据,以腾出内存空间来缓存 8 号页,于是就会淘汰末尾的 5 号页,然后再将 8 号页加入到头部。

传统的 LRU 算法并没有被 Linux 和 MySQL 使用,因为传统的 LRU 算法无法避免下面这两个问题:
- 预读失效导致缓存命中率下降;
- 缓存污染导致缓存命中率下降;
# 预读失效,怎么办?
# 什么是预读机制?
Linux 操作系统为基于 Page Cache 的读缓存机制提供预读机制 ,一个例子是:
- 应用程序只想读取磁盘上文件 A 的 offset 为 0-3KB 范围内的数据,由于磁盘的基本读写单位为 block(4KB),于是操作系统至少会读 0-4KB 的内容,这恰好可以在一个 page 中装下。
- 但是操作系统出于空间局部性原理(靠近当前被访问数据的数据,在未来很大概率会被访问到),会选择将磁盘块 offset [4KB,8KB)、[8KB,12KB) 以及 [12KB,16KB) 都加载到内存,于是额外在内存中申请了 3 个 page;
下图代表了操作系统的预读机制:

上图中,应用程序利用 read 系统调动读取 4KB 数据,实际上内核使用预读机制(ReadaHead) 机制完成了 16KB 数据的读取,也就是通过一次磁盘顺序读将多个 Page 数据装入 Page Cache。
这样下次读取 4KB 数据后面的数据的时候,就不用从磁盘读取了,直接在 Page Cache 即可命中数据。因此,预读机制带来的好处就是减少了 磁盘 I/O 次数,提高系统磁盘 I/O 吞吐量 。
MySQL Innodb 存储引擎的 Buffer Pool 也有类似的预读机制,MySQL 从磁盘加载页时,会提前把它相邻的页一并加载进来,目的是为了减少磁盘 IO。
# 预读失效会带来什么问题?
如果这些被提前加载进来的页,并没有被访问 ,相当于这个预读工作是白做了,这个就是预读失效 。
如果使用传统的 LRU 算法,就会把「预读页」放到 LRU 链表头部,而当内存空间不够的时候,还需要把末尾的页淘汰掉。
如果这些「预读页」如果一直不会被访问到,就会出现一个很奇怪的问题,不会被访问的预读页却占用了 LRU 链表前排的位置,而末尾淘汰的页,可能是热点数据,这样就大大降低了缓存命中率 。
# 如何避免预读失效造成的影响?
我们不能因为害怕预读失效,而将预读机制去掉,大部分情况下,空间局部性原理还是成立的。
要避免预读失效带来影响,最好就是让预读页停留在内存里的时间要尽可能的短,让真正被访问的页才移动到 LRU 链表的头部,从而保证真正被读取的热数据留在内存里的时间尽可能长 。
那到底怎么才能避免呢?
Linux 操作系统和 MySQL Innodb 通过改进传统 LRU 链表来避免预读失效带来的影响,具体的改进分别如下:
- Linux 操作系统实现两个了 LRU 链表:活跃 LRU 链表(active_list)和非活跃 LRU 链表(inactive_list) ;
- MySQL 的 Innodb 存储引擎是在一个 LRU 链表上划分来 2 个区域:young 区域 和 old 区域 。
这两个改进方式,设计思想都是类似的,都是将数据分为了冷数据和热数据,然后分别进行 LRU 算法 。不再像传统的 LRU 算法那样,所有数据都只用一个 LRU 算法管理。
接下来,具体聊聊 Linux 和 MySQL 是如何避免预读失效带来的影响?
Linux 是如何避免预读失效带来的影响?
Linux 操作系统实现两个了 LRU 链表:活跃 LRU 链表(active_list)和非活跃 LRU 链表(inactive_list) 。
- active list 活跃内存页链表,这里存放的是最近被访问过(活跃)的内存页;
- inactive list 不活跃内存页链表,这里存放的是很少被访问(非活跃)的内存页;
有了这两个 LRU 链表后,预读页就只需要加入到 inactive list 区域的头部,当页被真正访问的时候,才将页插入 active list 的头部 。如果预读的页一直没有被访问,就会从 inactive list 移除,这样就不会影响 active list 中的热点数据。
接下来,给大家举个例子。
假设 active list 和 inactive list 的长度为 5,目前内存中已经有如下 10 个页:

现在有个编号为 20 的页被预读了,这个页只会被插入到 inactive list 的头部,而 inactive list 末尾的页(10号)会被淘汰掉。

即使编号为 20 的预读页一直不会被访问,它也没有占用到 active list 的位置 ,而且还会比 active list 中的页更早被淘汰出去。
如果 20 号页被预读后,立刻被访问了,那么就会将它插入到 active list 的头部, active list 末尾的页(5号),会被降级 到 inactive list ,作为 inactive list 的头部,这个过程并不会有数据被淘汰。

MySQL 是如何避免预读失效带来的影响?
MySQL 的 Innodb 存储引擎是在一个 LRU 链表上划分来 2 个区域,young 区域 和 old 区域 。
young 区域在 LRU 链表的前半部分,old 区域则是在后半部分,这两个区域都有各自的头和尾节点,如下图:

young 区域与 old 区域在 LRU 链表中的占比关系并不是一比一的关系,而是 63:37(默认比例)的关系。
划分这两个区域后,预读的页就只需要加入到 old 区域的头部,当页被真正访问的时候,才将页插入 young 区域的头部 。如果预读的页一直没有被访问,就会从 old 区域移除,这样就不会影响 young 区域中的热点数据。
接下来,给大家举个例子。
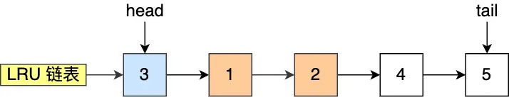
假设有一个长度为 10 的 LRU 链表,其中 young 区域占比 70 %,old 区域占比 30 %。

现在有个编号为 20 的页被预读了,这个页只会被插入到 old 区域头部,而 old 区域末尾的页(10号)会被淘汰掉。

如果 20 号页一直不会被访问,它也没有占用到 young 区域的位置,而且还会比 young 区域的数据更早被淘汰出去。
如果 20 号页被预读后,立刻被访问了,那么就会将它插入到 young 区域的头部,young 区域末尾的页(7号),会被挤到 old 区域,作为 old 区域的头部,这个过程并不会有页被淘汰。

# 缓存污染,怎么办?
# 什么是缓存污染?
虽然 Linux (实现两个 LRU 链表)和 MySQL (划分两个区域)通过改进传统的 LRU 数据结构,避免了预读失效带来的影响。
但是如果还是使用「只要数据被访问一次,就将数据加入到活跃 LRU 链表头部(或者 young 区域)」这种方式的话,那么还存在缓存污染的问题 。
当我们在批量读取数据的时候,由于数据被访问了一次,这些大量数据都会被加入到「活跃 LRU 链表」里,然后之前缓存在活跃 LRU 链表(或者 young 区域)里的热点数据全部都被淘汰了,如果这些大量的数据在很长一段时间都不会被访问的话,那么整个活跃 LRU 链表(或者 young 区域)就被污染了 。
# 缓存污染会带来什么问题?
缓存污染带来的影响就是很致命的,等这些热数据又被再次访问的时候,由于缓存未命中,就会产生大量的磁盘 I/O,系统性能就会急剧下降。
我以 MySQL 举例子,Linux 发生缓存污染的现象也是类似。
当某一个 SQL 语句扫描了大量的数据 时,在 Buffer Pool 空间比较有限的情况下,可能会将 Buffer Pool 里的所有页都替换出去,导致大量热数据被淘汰了 ,等这些热数据又被再次访问的时候,由于缓存未命中,就会产生大量的磁盘 I/O,MySQL 性能就会急剧下降。
注意, 缓存污染并不只是查询语句查询出了大量的数据才出现的问题,即使查询出来的结果集很小,也会造成缓存污染。
比如,在一个数据量非常大的表,执行了这条语句:
select * from t_user where name like "%xiaolin%";可能这个查询出来的结果就几条记录,但是由于这条语句会发生索引失效,所以这个查询过程是全表扫描的,接着会发生如下的过程:
- 从磁盘读到的页加入到 LRU 链表的 old 区域头部;
- 当从页里读取行记录时,也就是页被访问的时候,就要将该页放到 young 区域头部 ;
- 接下来拿行记录的 name 字段和字符串 xiaolin 进行模糊匹配,如果符合条件,就加入到结果集里;
- 如此往复,直到扫描完表中的所有记录。
经过这一番折腾,由于这条 SQL 语句访问的页非常多,每访问一个页,都会将其加入 young 区域头部,那么原本 young 区域的热点数据都会被替换掉,导致缓存命中率下降 。那些在批量扫描时,而被加入到 young 区域的页,如果在很长一段时间都不会再被访问的话,那么就污染了 young 区域。
举个例子,假设需要批量扫描:21,22,23,24,25 这五个页,这些页都会被逐一访问(读取页里的记录)。

在批量访问这些页的时候,会被逐一插入到 young 区域头部。

可以看到,原本在 young 区域的 6 和 7 号页都被淘汰了,而批量扫描的页基本占满了 young 区域,如果这些页在很长一段时间都不会被访问,那么就对 young 区域造成了污染。
如果 6 和 7 号页是热点数据,那么在被淘汰后,后续有 SQL 再次读取 6 和 7 号页时,由于缓存未命中,就要从磁盘中读取了,降低了 MySQL 的性能,这就是缓存污染带来的影响。
# 怎么避免缓存污染造成的影响?
前面的 LRU 算法只要数据被访问一次,就将数据加入活跃 LRU 链表(或者 young 区域),这种 LRU 算法进入活跃 LRU 链表的门槛太低了 !正式因为门槛太低,才导致在发生缓存污染的时候,很容就将原本在活跃 LRU 链表里的热点数据淘汰了。
所以,只要我们提高进入到活跃 LRU 链表(或者 young 区域)的门槛,就能有效地保证活跃 LRU 链表(或者 young 区域)里的热点数据不会被轻易替换掉 。
Linux 操作系统和 MySQL Innodb 存储引擎分别是这样提高门槛的:
- Linux 操作系统 :在内存页被访问第二次 的时候,才将页从 inactive list 升级到 active list 里。
- MySQL Innodb :在内存页被访问第二次 的时候,并不会马上将该页从 old 区域升级到 young 区域,因为还要进行停留在 old 区域的时间判断 :
- 如果第二次的访问时间与第一次访问的时间在 1 秒内 (默认值),那么该页就不会 被从 old 区域升级到 young 区域;
- 如果第二次的访问时间与第一次访问的时间超过 1 秒 ,那么该页就会 从 old 区域升级到 young 区域;
提高了进入活跃 LRU 链表(或者 young 区域)的门槛后,就很好了避免缓存污染带来的影响。
在批量读取数据时候,如果这些大量数据只会被访问一次,那么它们就不会进入到活跃 LRU 链表(或者 young 区域) ,也就不会把热点数据淘汰,只会待在非活跃 LRU 链表(或者 old 区域)中,后续很快也会被淘汰。
# 总结
传统的 LRU 算法法无法避免下面这两个问题:
- 预读失效导致缓存命中率下降;
- 缓存污染导致缓存命中率下降;
为了避免「预读失效」造成的影响,Linux 和 MySQL 对传统的 LRU 链表做了改进:
- Linux 操作系统实现两个了 LRU 链表:活跃 LRU 链表(active list)和非活跃 LRU 链表(inactive list) 。
- MySQL Innodb 存储引擎是在一个 LRU 链表上划分来 2 个区域:young 区域 和 old 区域 。
但是如果还是使用「只要数据被访问一次,就将数据加入到活跃 LRU 链表头部(或者 young 区域)」这种方式的话,那么还存在缓存污染的问题 。
为了避免「缓存污染」造成的影响,Linux 操作系统和 MySQL Innodb 存储引擎分别提高了升级为热点数据的门槛:
- Linux 操作系统:在内存页被访问第二次 的时候,才将页从 inactive list 升级到 active list 里。
- MySQL Innodb:在内存页被访问第二次 的时候,并不会马上将该页从 old 区域升级到 young 区域,因为还要进行停留在 old 区域的时间判断 :
- 如果第二次的访问时间与第一次访问的时间在 1 秒内 (默认值),那么该页就不会 被从 old 区域升级到 young 区域;
- 如果第二次的访问时间与第一次访问的时间超过 1 秒 ,那么该页就会 从 old 区域升级到 young 区域;
通过提高了进入 active list (或者 young 区域)的门槛后,就很好了避免缓存污染带来的影响。
完!
哈喽,我是小林,就爱图解计算机基础,如果觉得文章对你有帮助,欢迎微信搜索「小林coding」,关注后,回复「网络」再送你图解网络 PDF

